贵金属化合物
根据用途,对所有的贵金属化合物进行制造、供应

贵金属化合物作为电镀药品及催化剂,也被使用于众多产业领域。从氰化金钾, 氯化钯等一般性物质到复杂的有机贵金属化合物,配合用途弹性生产,并透过全方位的品质管理体制实现产品的供应。
■特长
- 稳定供应用于电镀等方面的贵金属化合物
- 也有制造各种被用为均相催化剂的有机贵金属化合物
使用领域
贵金属化合物的应用范例
化合物一览表 (代表范例)
| 化合物名称 | 化学式 | CAS RN® | ||
|---|---|---|---|---|
| Pt | 六水合六氯铂(IV)酸 | H2[PtCl6]・6H2O | 18497-13-7 | |
| 二氨二亚硝酸铂溶液 | [Pt(NO2)2(NH3)2] | 14286-02-3 | ||
| Hexammineplatinum(IV) chloride | [Pt(NH3)6]Cl4 | 16893-12-2 | ||
| Tetraammineplatinum(II)chloride | [Pt(NH3)4]Cl2・H2O | 13933-32-9 | ||
| Tetraammineplatinum(II)水酸盐溶液 | [Pt(NH3)4](OH)2 | 15651-37-3 | ||
| ※ |
乙醯丙酮酸铂 * Pt(acac)2 |
Pt(C5H7O2)2 | 15170-57-7 | |
| 氯化钯 | PdCl2 | 7647-10-1 | ||
| 硝酸钯溶液 | Pd(NO3)2 | 10102-05-3 | ||
| 硫酸钯 | PdSO4・nH2O | 13566-03-5 | ||
| Tetraamminepalladium(II)chloride溶液 | [Pd(NH3)4]Cl2 | 13815-17-3 | ||
| Tetraamminepalladium(II)水酸盐溶液 | [Pd(NH3)4](OH)2 | 68413-68-3 | ||
| Diamminedinitritopalladium(II)溶液 | [Pd(NO2)2(NH3)2] | 14852-83-6 | ||
|
醋酸钯 * Pd(OAc)2 |
Pd(CH3COO)2 | 3375-31-3 | ||
| ※ |
乙醯丙酮酸钯 * Pd(acac)2 |
Pd(C5H7O2)2 | 14024-61-4 | |
| 二(三苯基磷)钯二氯 trans-PdCl2(PPh3)2 |
trans-PdCl2[(C6H5)3P]2 | 13965-03-2 | ||
| 氧化铑 | Rh2O3 | 12036-35-0 | ||
| 三氯化铑 | RhCl3・3H2O | 13569-65-8 | ||
| 硝酸铑溶液 | Rh(NO3)3 | 10139-58-9 | ||
| ※ |
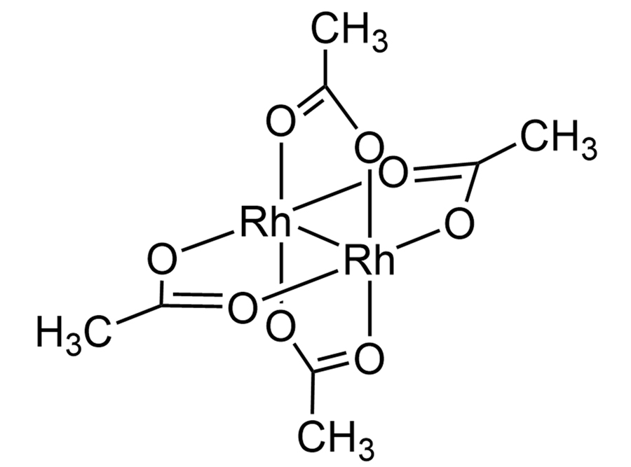
醋酸铑 * Rh2(OAc)4 |
Rh2(CH3COO)4 | 15956-28-2 | |
| ※ |
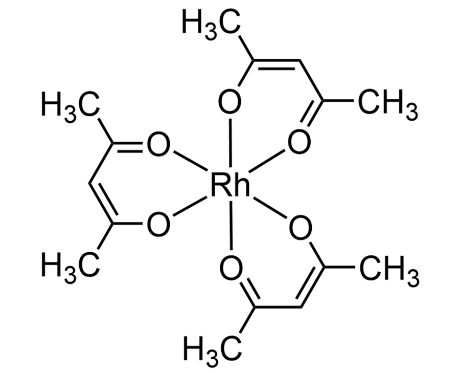
三乙醯丙酮铑 * Rh(acac)3 |
Rh(C5H7O2)3 | 14284-92-5 | |
| ※ |
三(三苯基磷)氯化铑 * RhCl(PPh3)3 |
RhCl[(C6H5)3P]3 | 14694-95-2 | |
| ※ |
Acetylacetonato dicarbonyl rhodium(I) * Rh(acac)(CO)2 |
Rh(CO)2(C5H7O2) | 14874-82-9 | |
|
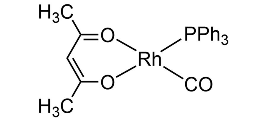
Acetylacetonatocarbonyl triphenylphosphine rhodium(I) * Rh(acac)(CO)(PPh3) |
Rh(C5H7O2)(CO)((C6H5)3P) | 25470-96-6 | ||
| 三氯化钌溶液 | H2[RuCl6] | 13465-52-6 | ||
| 氯化钌 | RuO2 | 12036-10-1 | ||
| 硝酸钌溶液 | Ru(NO3)3 | 15825-24-8 | ||
| ※ | Dodecacarbonyltriruthenium(O) * | Ru3(CO)12 | 15243-33-1 | |
| ※ |
Tris(acetylacetonato) ruthenium(III) * Ru(acac)3 |
Ru(C5H7O2)3 | 14284-93-6 | |
| 氧化铱 | IrO2 | 12030-49-8 | ||
| 氯化铱 | IrCl3・nH2O | 14996-61-3 | ||
| ※ |
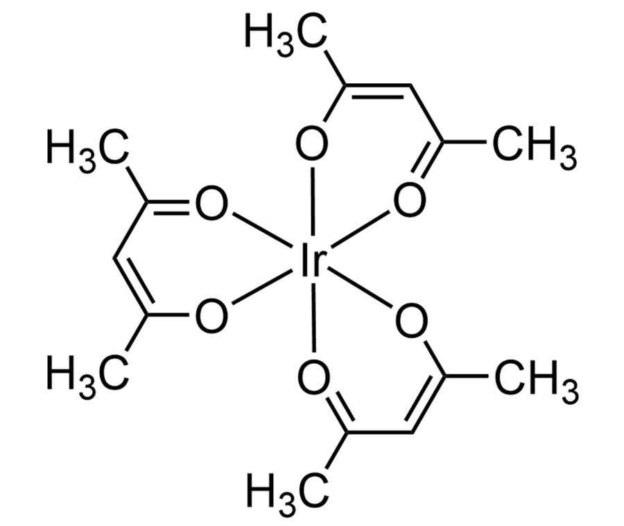
Tris(acetylacetonato)iridium(III) * Ir(acac)3 |
Ir(C5H7O2)3 | 15635-87-7 | |
| 四水合氢四氯金(III)酸 | H(AuCl4)・4H2O | 1303-50-0 | ||
| Gold(II) Potassium Cyanide | K(Au(CN)4) | 14263-59-3 | ||
| 氰化金钾 | K(Au(CN)2) | 13967-50-5 | ||
| 亚硫酸金钠溶液 | Na3(Au(SO3)2) | 19153-98-1 | ||
| 硝酸银 | AgNO3 | 7761-88-8 | ||
| 氰化银 | AgCN | 506-64-9 | ||
| 氰化银钾 | K[Ag(CN)2] | 506-61-6 | ||
CAS Registry Numbers® are the intellectual property of the American Chemical Society; and are used by TANAKA PRECIOUS METAL TECHNOLOGIES Co., Ltd. with the express permission of CAS.
※量产规模请另行咨询。其他各项产品品类齐全。